產品介紹 | PRODUCTS
聯系我們 | CONTACT US
- 內貿部:18953701056 (劉廣臣)
您所在的位置首頁 >>
產品介紹 >>
有機膦系列阻垢緩蝕劑、螯合劑 >>
PAPEMP產品介紹
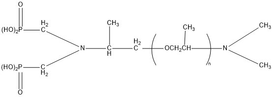
多氨基多醚基甲叉膦酸PAPEMP
Polyamino Polyether Methylene Phosphonae (PAPEMP)
別 名:多氨基多醚基亞甲基膦酸 相對分子質量:約600
一、產品性能:
多氨基多醚基甲叉膦酸為新一代水處理劑,具有很高的螯合分散性能和很高的鈣容忍度及優異的阻垢性能,該藥劑可作為循環冷卻水系統的阻垢緩蝕劑,特別適用于高硬度、高堿度、高pH的循環冷卻水系統和油田水處理。對碳酸鈣、磷酸鈣、硫酸鈣的阻垢性能優異,同時可有效地抑制硅垢的形成,且具有良好的穩定金屬離子如鋅、錳、鐵的作用。
多氨基多醚基甲叉膦酸用于反滲透系統的膜阻垢劑,多級閃蒸系統等高含鹽量、高濁度、高溫系統的阻垢和緩蝕(如煤汽化系統高溫高濁水系統的阻垢),紡織印染助劑和造紙助劑(返黃抑制劑),可替代EDTA、DTPA、NTA等。
二、質量指標
| 項 目 | 指 標 |
| GB/T 27812-2011 | |
| 外 觀 | 淡黃色或黃色透明液體 |
| 活性組份(以PAPEMP計)/% | ≥40 |
| 磷酸(以PO43-計)/% | ≤1.0 |
| 亞磷酸(以PO33-計)/% | ≤2.5 |
| pH值(1%水溶液) | ≤2.0 |
| 密度(20℃)/g.cm-3 | ≥1.15 |
| Fe含量(以Fe計) /mg·L-1 | ≤35.0 |
三、使用方法
多氨基多醚基甲叉膦酸正常使用投加量為5—100mg/L,多氨基多醚基甲叉膦酸與其他藥劑不同的是加量越多效果越好,多氨基多醚基甲叉膦酸可與聚羧酸等復配使用,加藥量高可實現高濃縮倍數運行。
四、包裝與貯存
多氨基多醚基甲叉膦酸用塑料桶包裝,每桶30Kg。多氨基多醚基甲叉膦酸貯存于室內陰涼處,貯存期十二個月。
五、安全防護
多氨基多醚基甲叉膦酸為酸性,操作時注意勞動保護,應避免與皮膚、眼睛等接觸,接觸后用大量清水沖洗。
|
|
PAPEMP的磷譜(86.42%) | |
|
|
PAPEMP的磷譜(86.82%) |
銷售熱線:0632-5113088 銷售傳真: 0632-5113155
地址:山東省棗莊市市中區十里泉東路1號 網址:http://www.cmec-iec.com.cn E-mail:th@thwater.com
版權所有© :2006-2021 山東泰和科技股份有限公司 魯ICP備09091669號-43
地址:山東省棗莊市市中區十里泉東路1號 網址:http://www.cmec-iec.com.cn E-mail:th@thwater.com
版權所有© :2006-2021 山東泰和科技股份有限公司 魯ICP備09091669號-43


